Inéquations réductibles au premier degré
Série 2

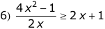
Résoudre

"index_1.gif"

"index_2.gif"

"index_3.gif"

"index_4.gif"

"index_5.gif"

"index_6.gif"

"index_7.gif"

"index_8.gif"

"index_9.gif"

"index_10.gif"

Solutions:

Apple, the Apple logo and Macintosh are registered trademarks of Apple Computer, Inc.
All other trademarks and names belong to their rightful owners.Designed, developed and maintained entirely on Mac OS X .