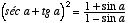
Exercices de trigonométrie : Vérifier les égalités suivantes
1) 
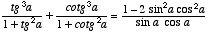
2) 
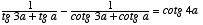
3) 
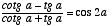
4) 
5) 
6) 
7) 
8) 
9) 
10) 
11) 
12) 
13) 
14) 
15) 
16) 
17) 
18) 
19) 
20) 
21) 
22) 
23) 
24) 
25) 
26) 
27) 
28) 
29) 
30) 
31) 
32) 
33) 
34) 
Sans recourir à la calculette, déterminer les nombres trigonométriques de
a = 
Exprimer en fonction des nombres trigonométriques de a


Factoriser
1) sin a - sin 2a + sin 3a - sin 4a
2) cos a + cos 2a + cos 3a + cos 4a
3) sin a + sin 7a - sin 5a - sin 3a
4) sin 5a - sin a + sin 6a
5) sin a - 2 sin 3a + sin 5a
6) sin a + sin b - sin (a+b)
Equations trigonométriques
1) sin x + sin 4x = 0
2) cos 5x - sin x = 0
3) sin x + sin 3x = cos x
4) sin 2x + sin 4x - sin 3x = 0
5) cos x - cos 2x + cos 3x = 0
6) sin3x + sin 2x + sin x = 0
7) cos x + cos 3x + 2 cos 2x = 0
8) cos x + cos 5x = cos 3x + cos 7x
9) 
10) tg x - tg 4x = 0
11) 
12) 
13) 3 sin x + 2 cos x = 0
14) sin 2x + cos 2x = 0
15) 2 sin x + 2 cos x + 1 = 0
16) 2 sin x + 3 cos x = 2
17) 2 sin x + 3 cos x = 3
18) 
19) 
20) 
21) 
22) tg 3x + tg x = 0
23) tg x - cotg x = 1
24) cos x cos 4x = cos 2x cos 3x
25) 
26) 
27) 
28) 
29) 
30) 1 - cos 2x = 3 tg x
31) 
32) 3 cos x (sin x + tg x) = 2 (1 + cos x)
33) 
Résoudre
1) 
2) 
3) 
4) 
5) 
6) 
7) 
8) 
Calculer les limites suivantes




