1635. Calculer l'aire de la figure comprise entre les paraboles y = x^2 , y = x^2/2 et la droite y = 2x

[Graphics:../HTMLFiles/index_13.gif]

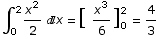
     4   8 A =  - + - = 4      3   3


Created by Mathematica  (April 19, 2007)
Apple, the Apple logo and Macintosh are registered trademarks of Apple Computer, Inc.
All other trademarks and names belong to their rightful owners.Designed, developed and maintained entirely on Mac OS X .